EMI Calculator

Results

Monthly EMI (₹) Total Interest (₹) Total Payment (₹)

Your Amortization Details

Period EMI (₹) Interest Paid (₹) Principal Paid (₹) Balance (₹)

What Is an EMI Calculator?

An EMI Calculator is a digital utility designed to help borrowers determine the specific amount they need to pay their lender every month. EMI stands for “Equated Monthly Installment.”

Instead of manually wrestling with complex percentages and algebra, you simply enter your loan details, and the EMI Calculator instantly computes the exact figure. It serves as a financial preview, letting you know if a specific loan fits within your monthly budget before you even sign the paperwork.

How Does an EMI Calculator Work?

At its core, an EMI Calculator automates the mathematical process of computing loan interest and principal repayment. It works by taking three primary inputs from you:

  • Loan Amount: The total money you wish to borrow.
  • Annual Interest Rate: The percentage charged by the bank.
  • Loan Tenure: The time frame (in months or years) over which you will repay the loan.

Once these figures are entered, the EMI Calculator processes the data using a standard formula to give you a result that includes both the principal portion and the interest portion for each month.

Why Should You Use an EMI Calculator Before Taking a Loan?

Entering a loan agreement without using an EMI Calculator first is like driving in the dark without headlights. You need visibility.

  • Financial Safety: It ensures you don’t commit to a monthly payment that exceeds your income.
  • Comparison: You can toggle the numbers to see how different banks’ interest rates affect your pocket.
  • Planning: It helps you decide if you need to save for a larger down payment to make the monthly burden lighter.
  • Accuracy: Manual calculations are prone to error; an EMI Calculator gives you a precise figure every time.

How can an online EMI calculator help you?

An online EMI Calculator offers convenience and speed that manual calculations cannot match. It allows you to experiment with “What-If” scenarios.

  • What if I increase the tenure by 2 years?
  • What if I borrow 1 Lakh less?

Furthermore, AK Shah Finance online EMI Calculator often provides an Amortization Schedule. This is a table that breaks down every single payment, showing you exactly how much of your money is going toward interest versus the principal balance month by month.

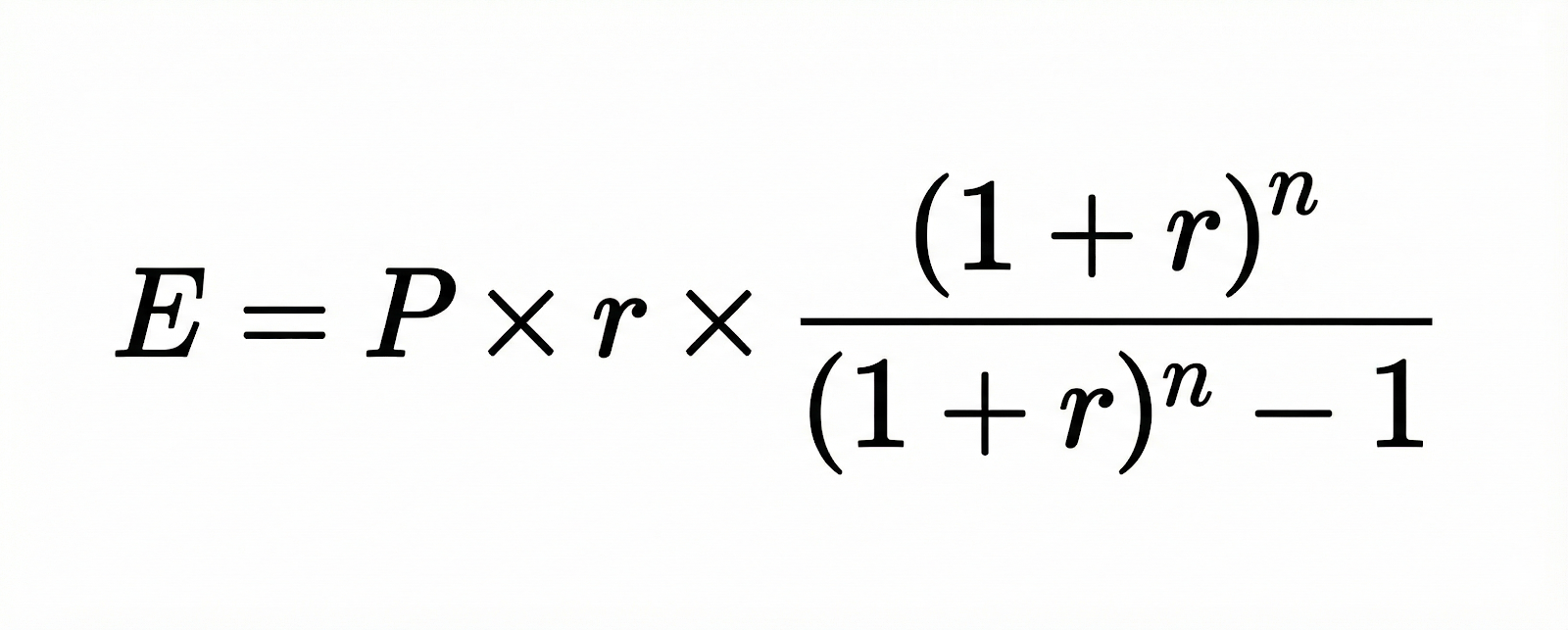
Formula to Calculate the EMI amount?

While the EMI Calculator does the heavy lifting, it is helpful to know the math behind it. 

The formula used is:

EMI Formula

Where:

  • E = The EMI amount payable.
  • P = The Principal loan amount.
  • r = The monthly interest rate (Annual Rate divided by 12, then divided by 100).
  • n = The loan tenure in months.

Example of EMI Calculation

Let’s see the EMI Calculator logic in action with a real-world example.

Imagine you are taking a Personal Loan:

  • Loan Amount (P): ₹5,00,000
  • Annual Interest Rate: 12% (which is 1% or 0.01 per month)
  • Tenure (n): 2 Years (24 Months)

Using the formula, the calculation would look like this:

Example of EMI Calculation

Result: Your Monthly EMI would be approximately ₹23,537.

Over 2 years, you would pay a total interest of roughly ₹64,882

How to Use AK Shah Finance Online EMI Calculator

Using the AK Shah Finance EMI Calculator is a simple, intuitive process designed to give you instant results without any complex navigation. Just follow these steps:

  1. Enter Loan Details:
  • Loan Amount (₹): In the first field, type in the total amount you wish to borrow (e.g., 500000).
  • Annual Interest Rate (%): Input the interest rate offered by your bank or lender.
  • Loan Tenure: Enter the duration for which you want to take the loan.
  1. Select Preferences:
  • Select Tenure Type: Choose whether the number you entered above is in Years or Months using the dropdown menu.
  • Amortization View: Select how you want to view your payment schedule (e.g., Yearly) to see a breakdown of your payments over time.
  1. Click Calculate:
  • Hit the green Calculate button.
  1. Analyze Your Results:
  • Summary: The tool immediately displays your Monthly EMI, Total Interest payable, and the Total Payment (Principal + Interest) at the top of the results section.
  • Visual Graphs: Review the Pie Chart to visualize the ratio of Principal vs. Interest, and check the Line Graph to see how your loan balance reduces over time.
  • Detailed Table: Scroll down to the Amortization Details section to see a year-by-year split of how much interest and principal you are paying annually.

Advantages of using AK Shah Finance EMI calculator

While there are many tools available online, the AK Shah Finance EMI Calculator stands out because of its user-centric design and detailed reporting features:

  • Comprehensive Amortization Table: unlike basic calculators that just give you one number, this tool provides a detailed “Year-end Balance” table. This helps you track exactly how much principal is paid off every year.
  • Dual Visualizations: It offers both a Pie Chart and a Reduction Graph. The pie chart instantly shows you if your interest burden is too high compared to the principal, while the graph visualizes your journey to becoming debt-free.
  • Flexible Tenure Options: The option to toggle the “Tenure Type” between years and months allows for precise calculations, especially if you are planning for a short-term loan that doesn’t fit into perfect year blocks.
  • Clean Interface: The layout is clutter-free, focusing entirely on your financial data without distracting pop-ups, ensuring you can focus on planning your EMI effectively.

Types of Loans You Can Calculate EMI

The beauty of a standard EMI Calculator is its versatility. You can use it for almost any term loan, including:

  • Home Loans: Usually for long tenures (15–30 years) with larger amounts.
  • Car Loans: Typically 3–7 years.
  • Personal Loans: Unsecured loans often used for emergencies or travel.
  • Education Loans: Specifically for tuition and academic expenses.
  • Two-Wheeler Loans: Smaller amounts for bikes or scooters.

Factors That Affect Your EMI

When you play around with an EMI Calculator, you will notice that changing specific variables changes the result. The three main factors are:

  1. Loan Amount: The higher the principal, the higher the EMI.
  2. Interest Rate: Even a 0.5% difference can significantly impact your monthly outgo.
  3. Tenure: This is the tricky one. Increasing the tenure lowers your monthly EMI, but it drastically increases the total interest you pay to the bank over time.

Tips to Reduce Your EMI

If the EMI Calculator shows a number that is too high for your budget, try these tips:

  • Pay a Higher Down Payment: reducing the loan amount automatically reduces the EMI.
  • Choose a Longer Tenure: This lowers the monthly burden (though you pay more interest overall).
  • Negotiate the Rate: A good credit score can help you secure a lower interest rate from the lender.
  • Prepayments: If your loan allows it, making part-payments reduces the principal, which can subsequently lower your EMI or shorten your tenure.

Benefits of the EMI Calculator

To summarize, making the EMI Calculator your first step in the loan process offers immense value:

  • Instant Results: No waiting time; get answers in seconds.
  • Budgeting Freedom: Plan your monthly expenses around the loan accurately.
  • Mobile Friendly: Access it anywhere, anytime on your phone.
  • Free to Use: AK Shah Finance online calculators are completely free and require no sign-up.

FAQs EMI Calculator

Can the EMI Calculator handle floating interest rates?

AK Shah Finance calculators assume a fixed rate. If you have a floating rate loan, you should re-calculate your EMI whenever the bank changes the repo-linked rate.

Does the EMI Calculator include processing fees?

Is the result from AK Shah Finance online EMI Calculator 100% accurate?

What is the difference between a Flat Rate and a Reducing Balance in an EMI Calculator?

Does using an online EMI Calculator affect my CIBIL or credit score?

If I make a prepayment, how does it change the results in the EMI Calculator?

Why is my actual bank deduction slightly different from the EMI Calculator result?

Is it better to choose a short tenure or a long tenure on the EMI Calculator?

Can I use a generic EMI Calculator for a Home Loan?

Does the EMI amount include GST?

Scroll to Top