Home Loan EMI Calculator
Results
| Monthly EMI (₹) | Total Interest (₹) | Total Payment (₹) |
|---|
Your Amortization Details
| Period | EMI (₹) | Interest Paid (₹) | Principal Paid (₹) | Balance (₹) |
|---|
What Is a Home Loan EMI Calculator?
Simply put, a Home Loan EMI Calculator is an online simulation tool that helps you calculate the Equated Monthly Installment (EMI) payable towards your home loan.
Instead of scratching your head over complex manual calculations, you simply input three key details:
- The loan amount (Principal).
- The interest rate.
- The loan tenure (duration).
The tool instantly processes this data to tell you the exact amount you need to pay the bank every month. It serves as a financial compass, helping you decide how much you can afford to borrow without straining your monthly budget.
Benefits of Using a Home Loan EMI Calculator
Why should you use a digital tool instead of a pen and paper? Here are the top benefits:
- Instant Results: It saves time. You get accurate results in a split second, allowing you to try multiple combinations of loan amounts and tenures.
- Accuracy: Manual calculations are prone to error. A Home Loan EMI Calculator eliminates the risk of miscalculation.
- Financial Planning: It helps you analyze your budget. By knowing the EMI beforehand, you can plan your other investments and expenses accordingly.
- Comparison: You can easily compare offers from different banks to see which interest rate works best for your pocket.
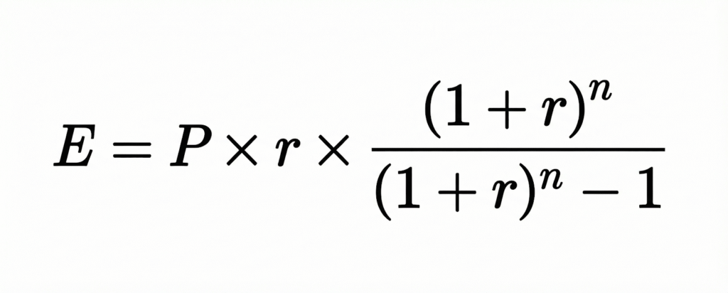
The Formula to Determine Home Loan EMI Amount
While the calculator does the heavy lifting, it is always good to know the math behind the magic. The standard mathematical formula used to calculate EMI is:

Where:
- E = EMI (Equated Monthly Installment)
- P = Principal Loan Amount
- r = Monthly Interest Rate (Annual Rate divided by 12, then divided by 100)
- n = Loan Tenure in months
Note: The most critical part of this formula is the power factor calculation (1+r)n, which accounts for the compounding interest over the years.
Example of Home Loan EMI Calculation
Let’s put the formula into a real-world perspective to see how a Home Loan EMI Calculator works.
Scenario:
Imagine you are taking a home loan of 50,00,000 (50 Lakhs) at an annual interest rate of 8.5% for a tenure of 20 years.
- Principal (P): 5,000,000
- Rate (r): 8.5 / 12 / 100 = 0.007083
- Tenure (n): 20 \times 12 = 240 months
Using the calculator, the result would be:
- Monthly EMI: 43,391
- Total Interest Payable: 54,13,879
- Total Payment (Principal + Interest): 1,04,13,879
As you can see, over 20 years, the interest amount can actually exceed the principal amount!
How Can a Home Loan EMI Calculator Help You?
A Home Loan EMI Calculator is more than just a math tool; it is a decision-making tool. Here is how it helps:
- Budgeting: It prevents you from over-leveraging. You might be eligible for a huge loan, but the calculator will show you if the monthly payment is actually sustainable for your lifestyle.
- Tenure Selection: You can toggle the timeline. If the EMI looks too high, you can check how much it drops if you increase the tenure from 20 to 25 years.
Factors That Affect Your Home Loan EMI
When you use a Home Loan EMI Calculator, you will notice that changing specific inputs changes the result. The three main factors are:
- Loan Amount: The higher the principal, the higher the EMI.
- Interest Rate: This is the cost of borrowing. Even a 0.5% difference can save (or cost) you lakhs over the long run.
- Loan Tenure: A longer tenure reduces your monthly EMI but increases the total interest you pay. A shorter tenure increases your monthly EMI but saves you money on total interest.
How to Use AK Shah Finance Online Home Loan EMI Calculator?
Using the AK Shah Finance Home Loan EMI Calculator is straightforward and user-friendly. Just follow these simple steps to get an instant analysis of your loan repayment:
- Enter Loan Amount: In the first field labeled “Loan Amount (₹)”, type in the total principal amount you intend to borrow.
- Input Interest Rate: Enter the expected “Annual Interest Rate (%)” provided by your bank.
- Set the Tenure: Enter the “Loan Tenure” number and use the dropdown menu “Select Tenure Type” to choose whether this number represents Years or Months.
- Select Amortization Frequency: Under “Amortization Details,” choose how you want to view your payment breakdown (e.g., Yearly or monthly).
- Click Calculate: Hit the green Calculate button to process the data.
Once clicked, the Home Loan EMI Calculator will immediately display your “Monthly EMI,” “Total Interest,” and “Total Payment” in a summary table. Below that, you will see a detailed pie chart and a year-by-year amortization schedule showing exactly how your money is split between principal and interest.
Advantages of Using AK Shah Finance Home Loan EMI Calculator
While there are many tools available, the AK Shah Finance Home Loan EMI Calculator offers specific features that make financial planning easier:
- Visual Clarity with Pie Charts: The tool generates a clear, color-coded pie chart (Blue for Principal, Orange for Interest). This gives you an immediate visual understanding of your total liability versus the actual loan amount.
- Detailed Amortization Schedule: Unlike basic calculators that only show the EMI, this Home Loan EMI Calculator provides a comprehensive “Amortization Details” table. It breaks down every year’s payment, showing exactly how much interest you pay annually and how your loan balance reduces over time.
- Flexible Tenure Options: The “Select Tenure Type” dropdown allows you to switch between Years and Months. This is incredibly useful if you want to calculate EMI for a specific remaining tenure (e.g., 150 months) or if you prefer entering your loan duration in months rather than converting it to years.
Fixed vs Floating Interest Rate: Impact on EMI
When applying for a loan, you will often choose between a fixed or floating rate.
- Fixed Interest Rate: The rate remains constant for a specific period or the entire tenure. Your EMI remains stable, allowing for predictable budgeting. However, these rates are usually slightly higher than floating rates.
- Floating Interest Rate: The rate fluctuates based on market conditions (repo rate changes). If rates drop, your EMI (or tenure) decreases. If rates rise, your liability increases.
Most experts recommend using a Home Loan EMI Calculator to test both scenarios to see if you have the financial buffer to handle a floating rate hike.
How to Reduce Your Home Loan EMI
Is the calculator showing a number that scares you? Here are a few ways to bring that EMI down:
- Increase the Down Payment: Paying more upfront reduces the principal loan amount, which directly lowers the EMI.
- Opt for a Longer Tenure: Stretching the loan over more years will lower the monthly burden (though you pay more interest in total).
- Negotiate the Rate: A good credit score can help you negotiate a lower interest rate with the lender.
- Step-Down EMI: Some lenders offer plans where EMIs start high and reduce over time, or vice versa, depending on your career stage.
Home Loan EMI Calculator: Monthly vs Yearly EMI Breakdown
One concept that confuses many borrowers is the Amortization Schedule.
When you pay your EMI, it is split into two parts: Principal and Interest.
- Early Years: A large chunk of your EMI goes toward paying off the Interest. Very little goes toward the Principal.
- Later Years: As the loan matures, the interest component drops, and a larger portion of the EMI goes toward clearing the Principal.
AK Shah Finance Home Loan EMI Calculator will provide a year-on-year or month-on-month table showing exactly how much of your money is going to the bank as profit versus how much is paying off your debt.
FAQs Home Loan EMI Calculator
Is the result from an online Home Loan EMI Calculator 100% accurate?
It is mathematically accurate based on the inputs you provide. However, banks may add small processing fees or insurance costs that are not reflected in the basic EMI calculation.
Does the calculator include tax benefits?
No, standard calculators show the gross EMI. You will have to calculate tax deductions (under sections like 80C and 24b) separately.
Does a lower EMI always mean a better deal?
Not necessarily. A lower EMI often comes from a longer tenure, which means you pay significantly more interest to the bank over time. Always look at the “Total Interest Payable” in the Home Loan EMI Calculator.
Can the Home Loan EMI Calculator help me decide between a 20-year and 30-year tenure?
Absolutely. This is one of the best uses of the tool. You can input the same loan amount and interest rate but swap the tenure from 20 to 30 years. The Home Loan EMI Calculator will show you that while the 30-year option lowers your monthly payment, it drastically increases the total interest you pay to the bank.
Does my CIBIL score affect the results of the Home Loan EMI Calculator?
Indirectly, yes. The calculator itself doesn’t check your score, but your CIBIL score determines the interest rate the bank offers you. If you have a high score (750+), you can enter a lower interest rate into the Home Loan EMI Calculator to see your reduced monthly liability.
Is the formula used in a Home Loan EMI Calculator different for different banks?
No, the mathematical formula for reducing balance EMI is standard across all banks and financial institutions. Whether you use an HDFC, SBI, or ICICI calculator, a generic Home Loan EMI Calculator will give you the same result for the same inputs.
Does the Home Loan EMI Calculator include processing fees and stamp duty?
Generally, no. A standard Home Loan EMI Calculator focuses strictly on the principal and interest repayment. One-time costs like processing fees (usually 0.5% to 1% of the loan amount), stamp duty, and legal fees are separate expenses that you need to budget for over and above the EMI.
What happens if the Repo Rate changes?
If you opt for a floating interest rate, your actual EMI might change in the future. The Home Loan EMI Calculator gives you a snapshot based on the current interest rate. If the RBI changes the Repo Rate, banks usually adjust the tenure of your loan rather than the EMI amount, though you can request to change the EMI amount as well.
Can I use a Home Loan EMI Calculator for a plot or land loan?
Yes, the math remains the same. However, interest rates for land loans are typically higher than standard home loans, and the tenure is often shorter (usually up to 15 years). You just need to adjust the interest and tenure inputs in the Home Loan EMI Calculator accordingly.
Why does the “Total Interest” shown in the Home Loan EMI Calculator seem so high?
That is the power of compounding working against you. Over a long tenure like 20 or 25 years, you end up paying interest on the outstanding balance every single month. It is not a glitch in the Home Loan EMI Calculator; it is the reality of long-term borrowing. This is why experts suggest making prepayments whenever possible.
